jtsai1120's blog
jtsai1120's blog
HOME
LOG
TAGS
CAT
ABOUT
WHOAMI
CONTACT
LINKS
FRIENDS
TOOLS
HOME
LOG
TAGS
CAT
ABOUT
WHOAMI
CONTACT
LINKS
FRIENDS
TOOLS
54
Tags
16
Categories
51
Posts
工程數學:高階 ODE
jtsai1120
2025-02-02 07:41:23
2025-02-02 07:41:23
Created
2025-02-16 14:56:17
2025-02-16 14:56:17
Updated
公開筆記
>
工程數學
筆記
|
工程數學
|
微分方程
54 Words
1 Mins
基本定義
分類、名詞定義
解空間、Wronskian
通解
特解
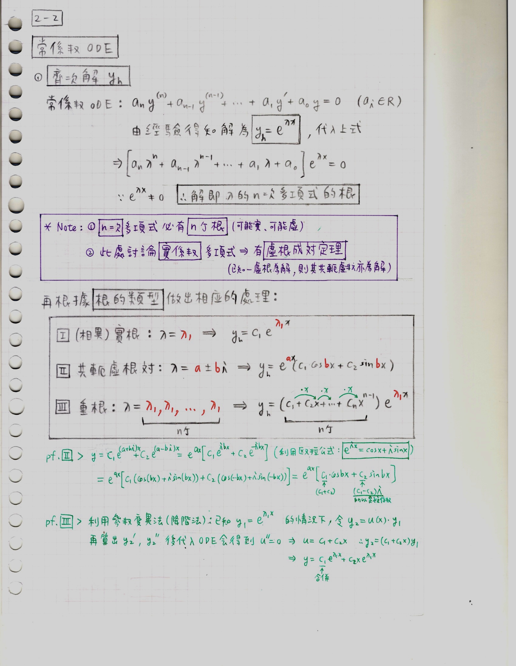
常係數 ODE
變係數 ODE
Cauchy ODE
Exact ODE
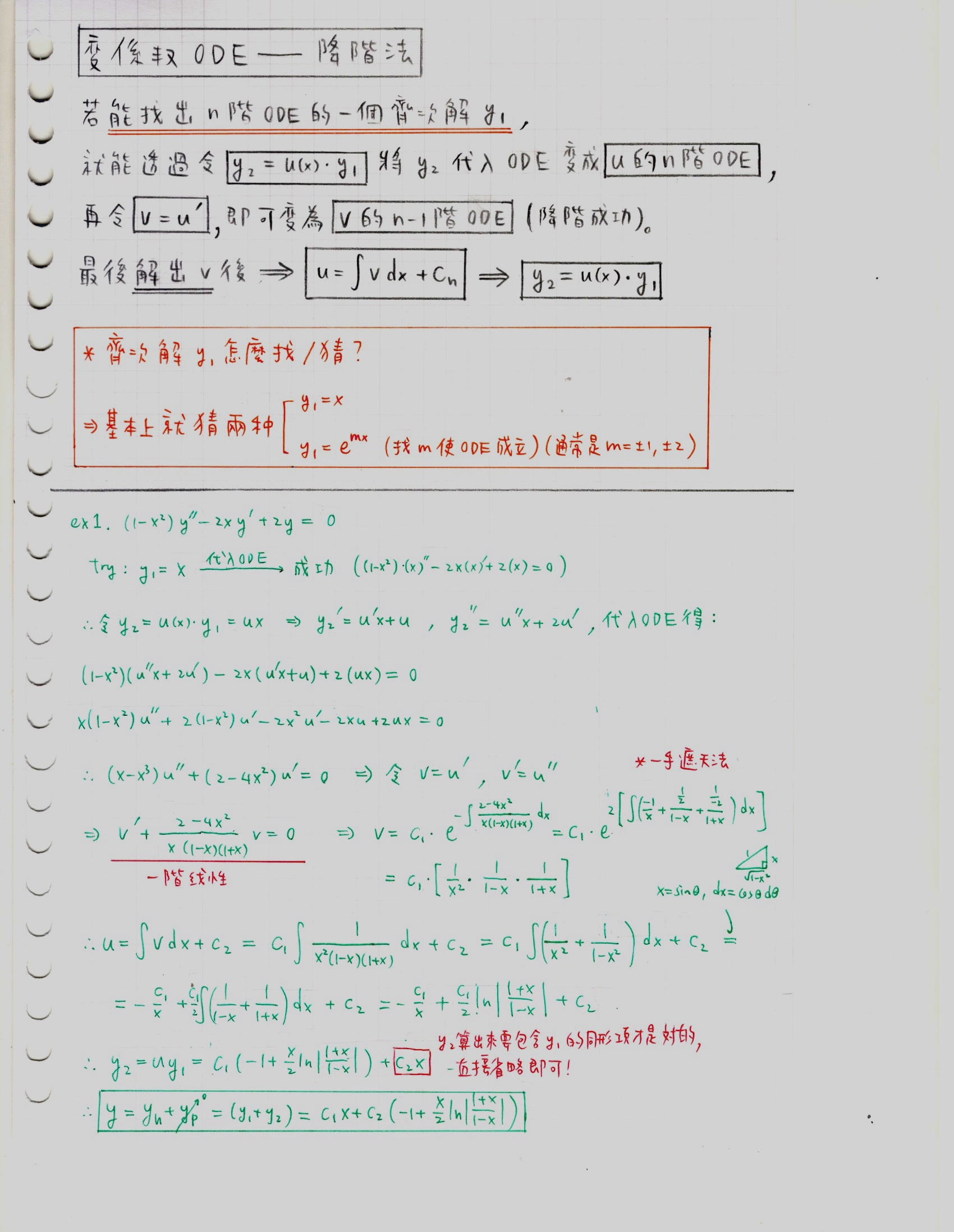
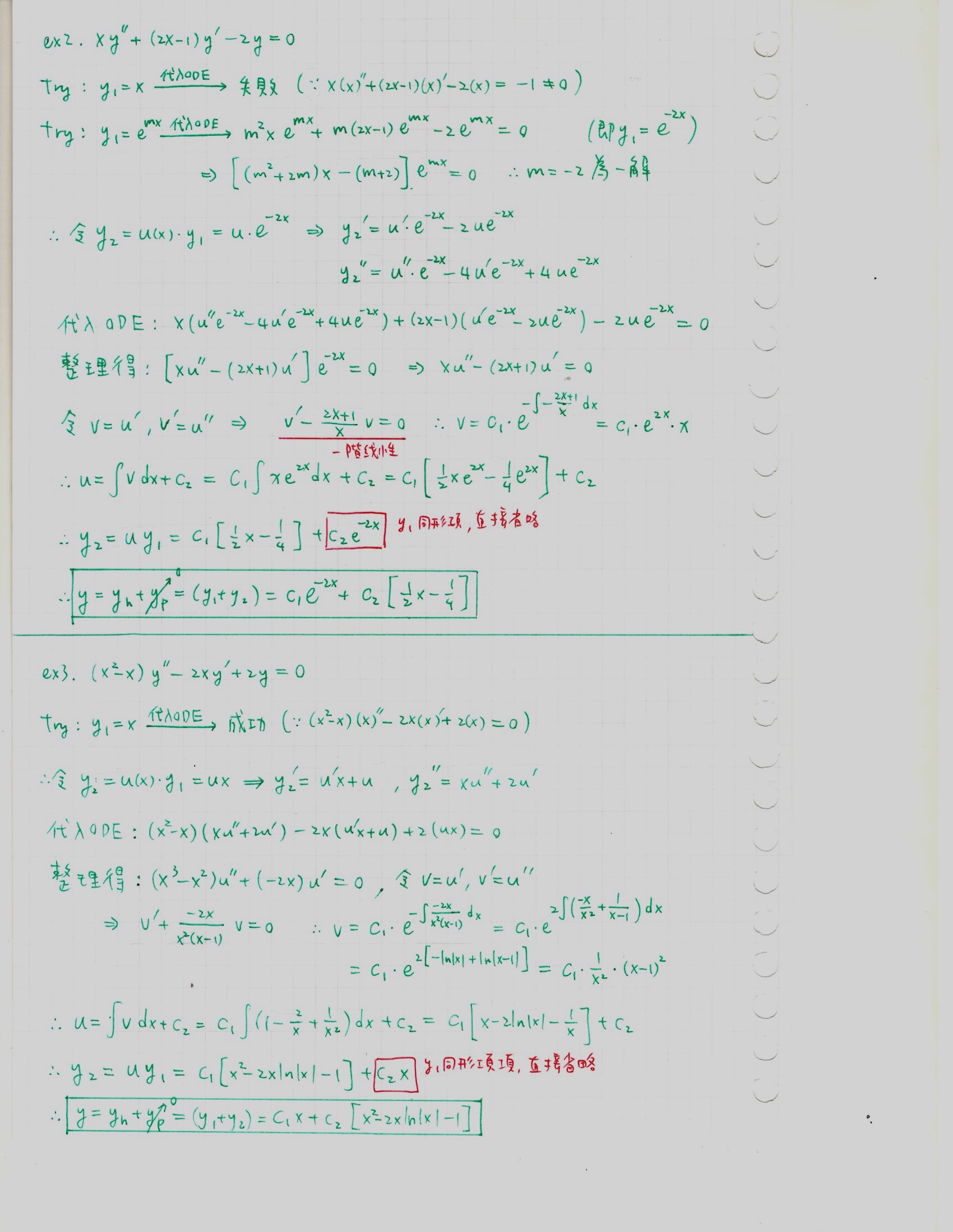
降階法
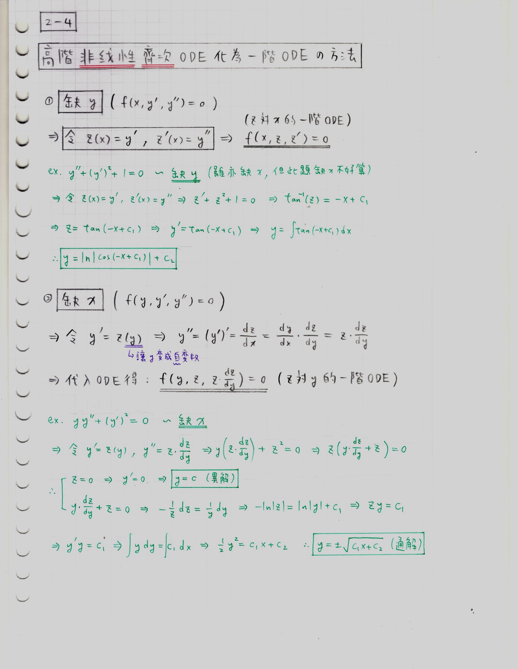
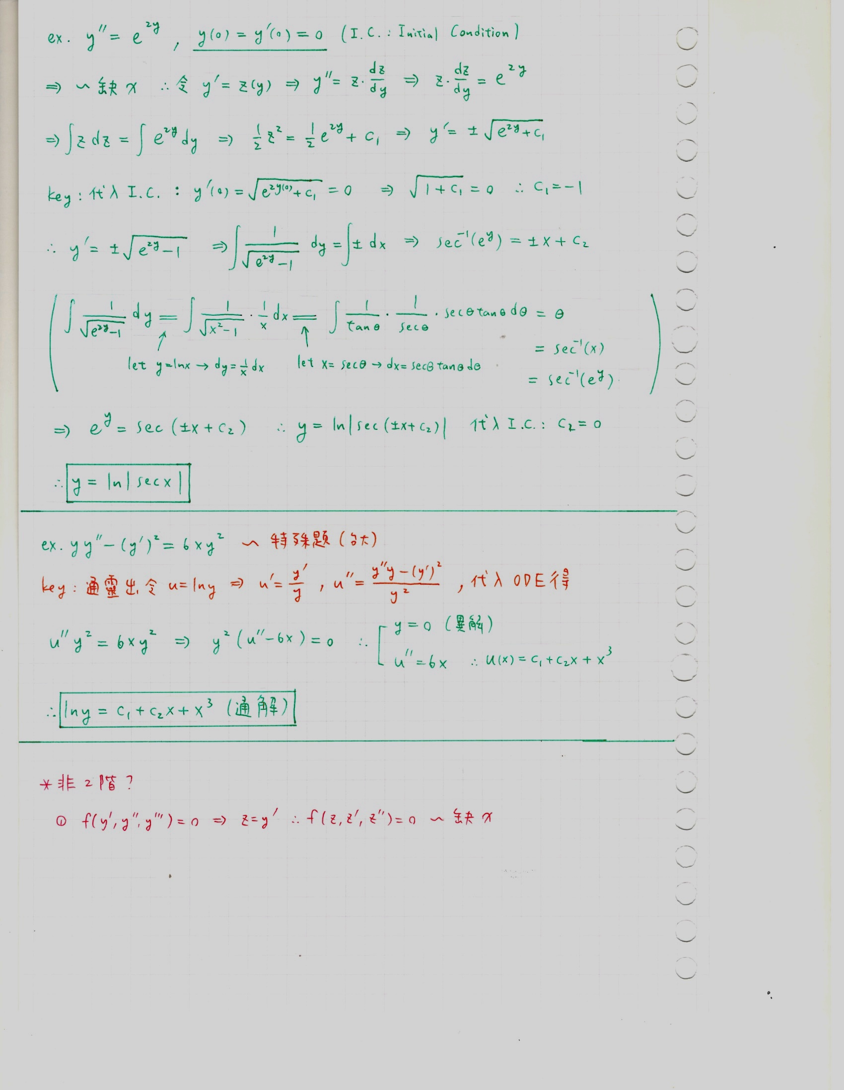
非線性齊次 ODE (缺x or 缺y)
因、自變數代換法
解法統整
#筆記
#工程數學
#微分方程
工程數學:Laplace 變換
Prev posts
工程數學:一階 ODE
Next posts
On this page
工程數學:高階 ODE
1.
基本定義
1.1.
分類、名詞定義
1.2.
解空間、Wronskian
1.3.
通解
1.4.
特解
2.
常係數 ODE
3.
變係數 ODE
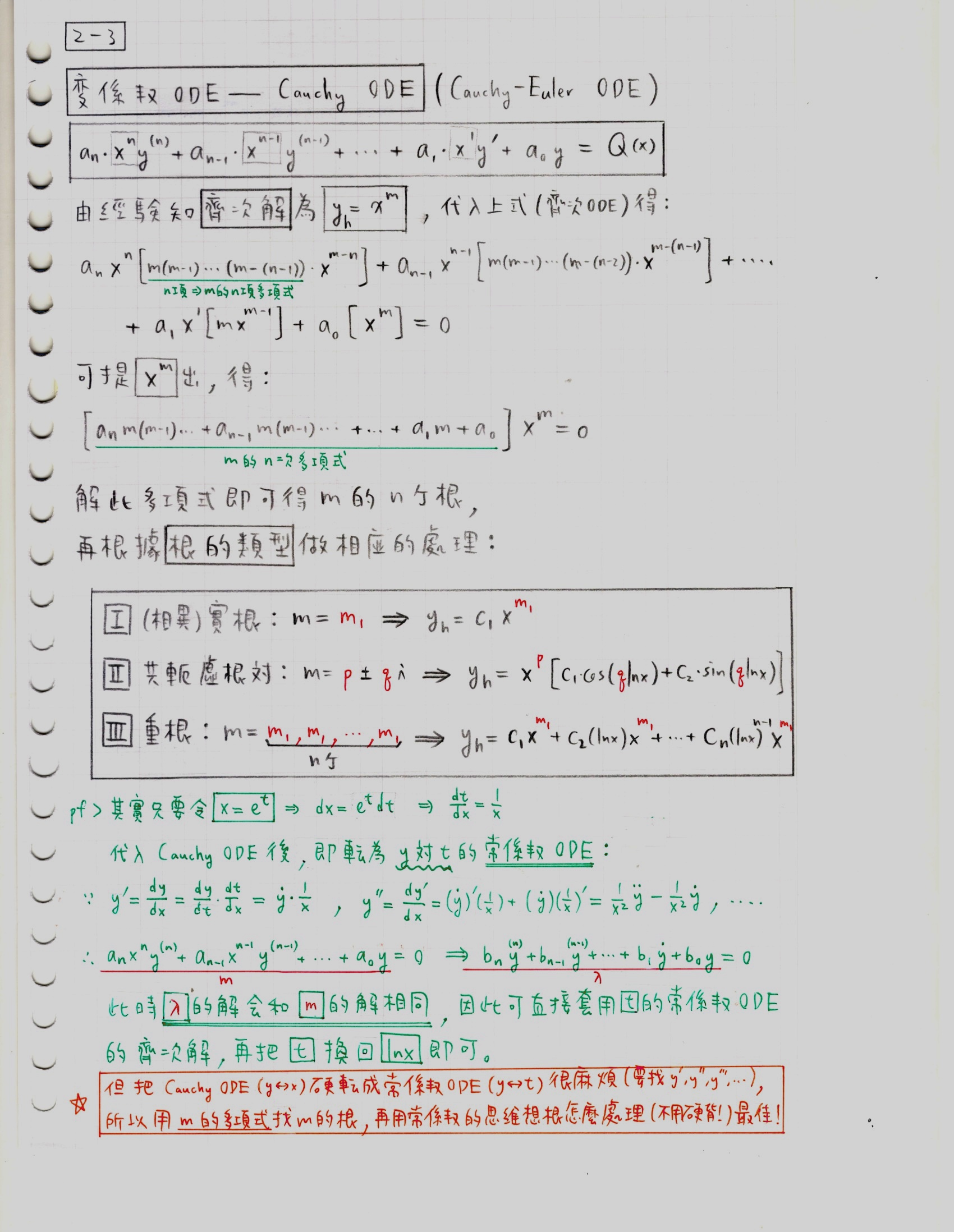
3.1.
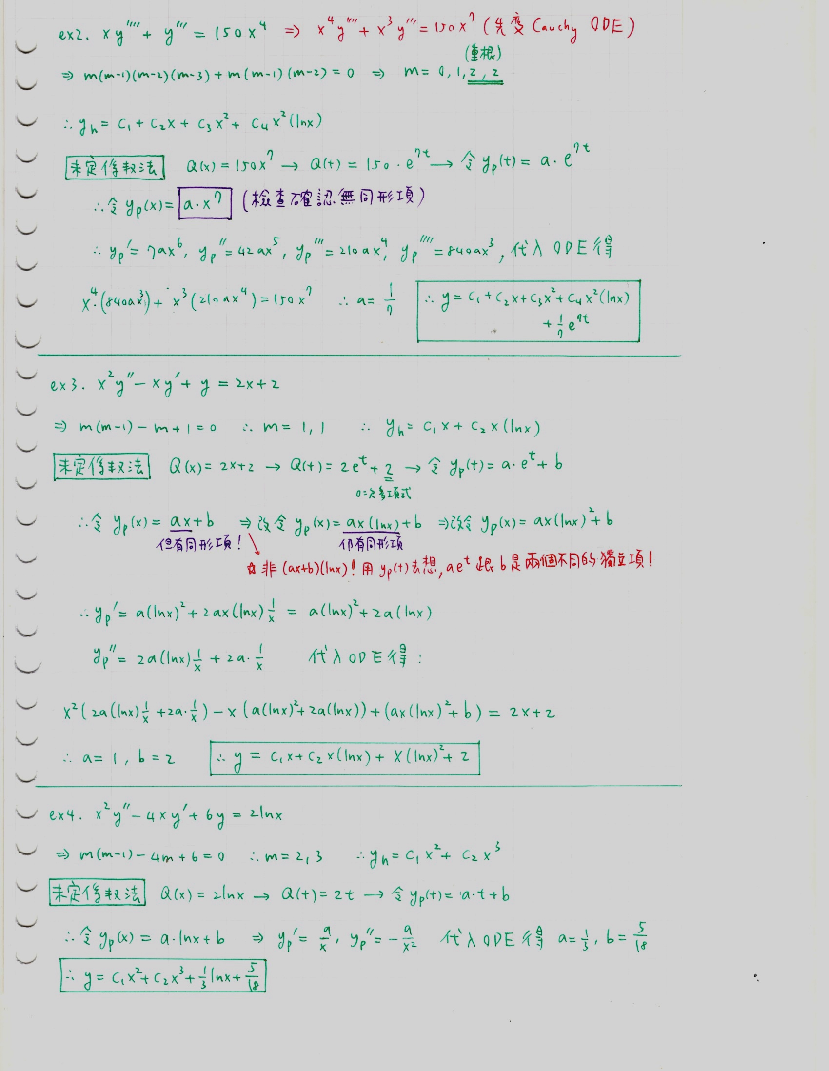
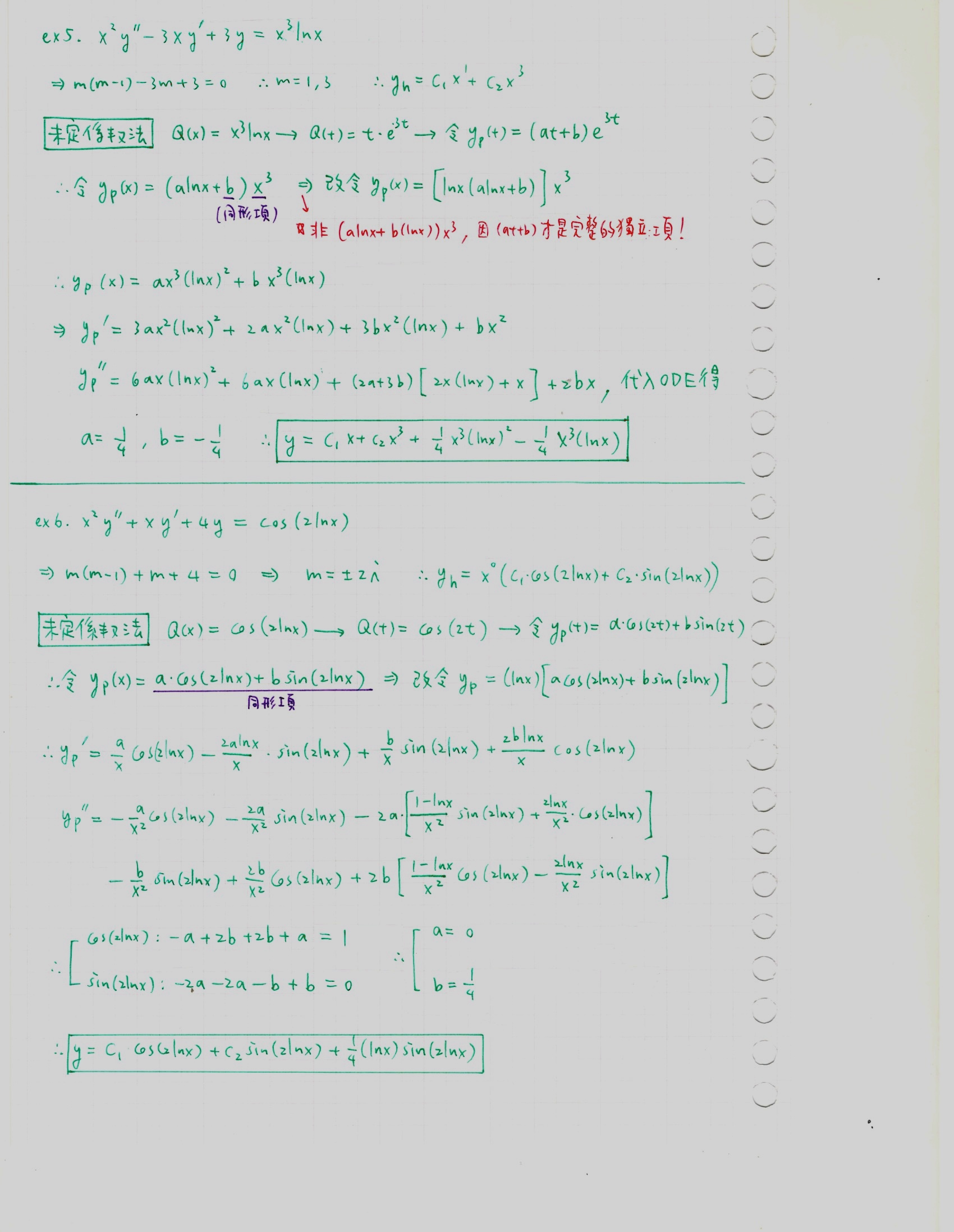
Cauchy ODE
3.2.
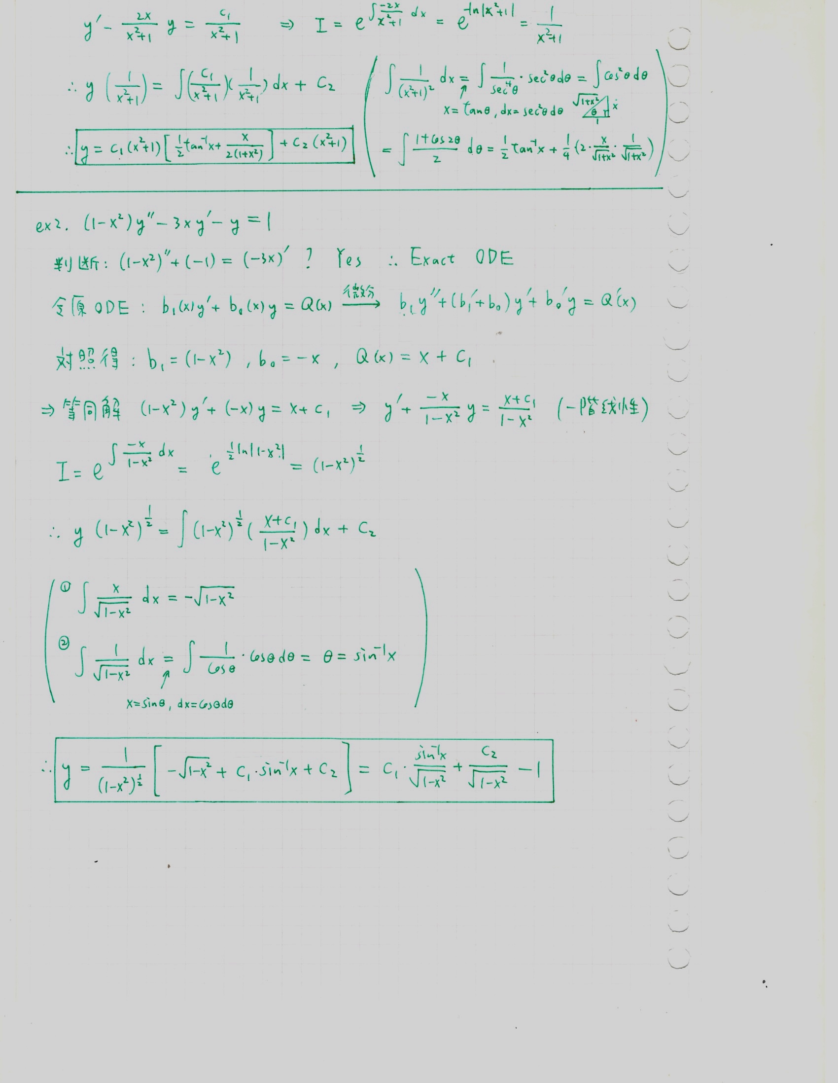
Exact ODE
3.3.
降階法
4.
非線性齊次 ODE (缺x or 缺y)
5.
因、自變數代換法
6.
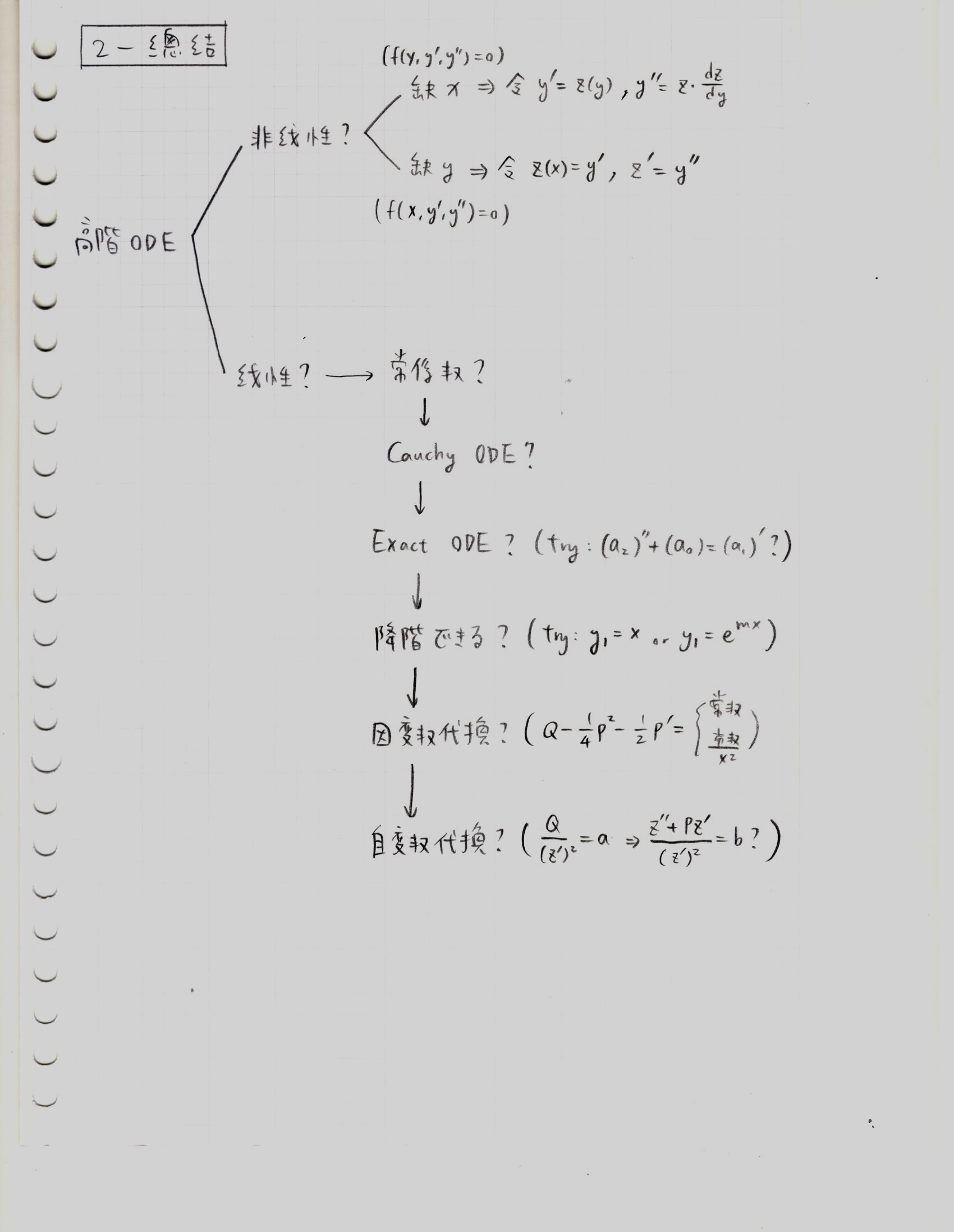
解法統整