jtsai1120's blog
jtsai1120's blog
HOME
LOG
TAGS
CAT
ABOUT
WHOAMI
CONTACT
LINKS
FRIENDS
TOOLS
HOME
LOG
TAGS
CAT
ABOUT
WHOAMI
CONTACT
LINKS
FRIENDS
TOOLS
54
Tags
16
Categories
51
Posts
工程數學:Fourier 分析
jtsai1120
2025-02-02 07:52:07
2025-02-02 07:52:07
Created
2025-08-24 15:13:03
2025-08-24 15:13:03
Updated
公開筆記
>
工程數學
筆記
|
工程數學
|
Fourier
|
微分方程
62 Words
1 Mins
基本觀念複習
週期函數、奇偶函數
積化和差
傅立葉級數
半幅/全幅展開式
FCS、FSS
全幅展開式
傅立葉複數級數
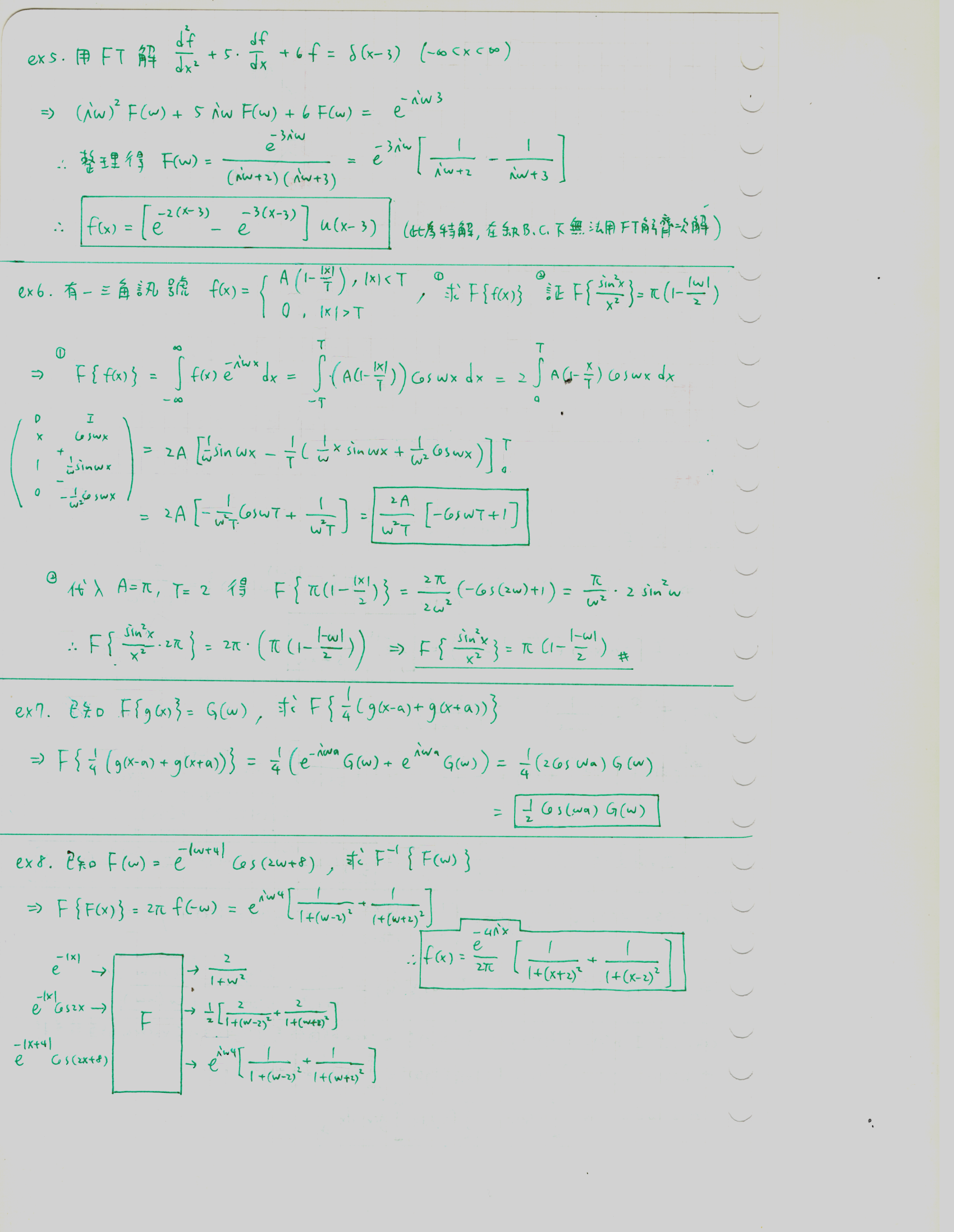
傅立葉積分
傅立葉轉換
傅立葉轉換之性質
#筆記
#工程數學
#Fourier
#微分方程
微積分:Ch0 常見函數與圖形統整
Prev posts
工程數學:Laplace 變換
Next posts
On this page
工程數學:Fourier 分析
1.
基本觀念複習
1.1.
週期函數、奇偶函數
1.2.
積化和差
2.
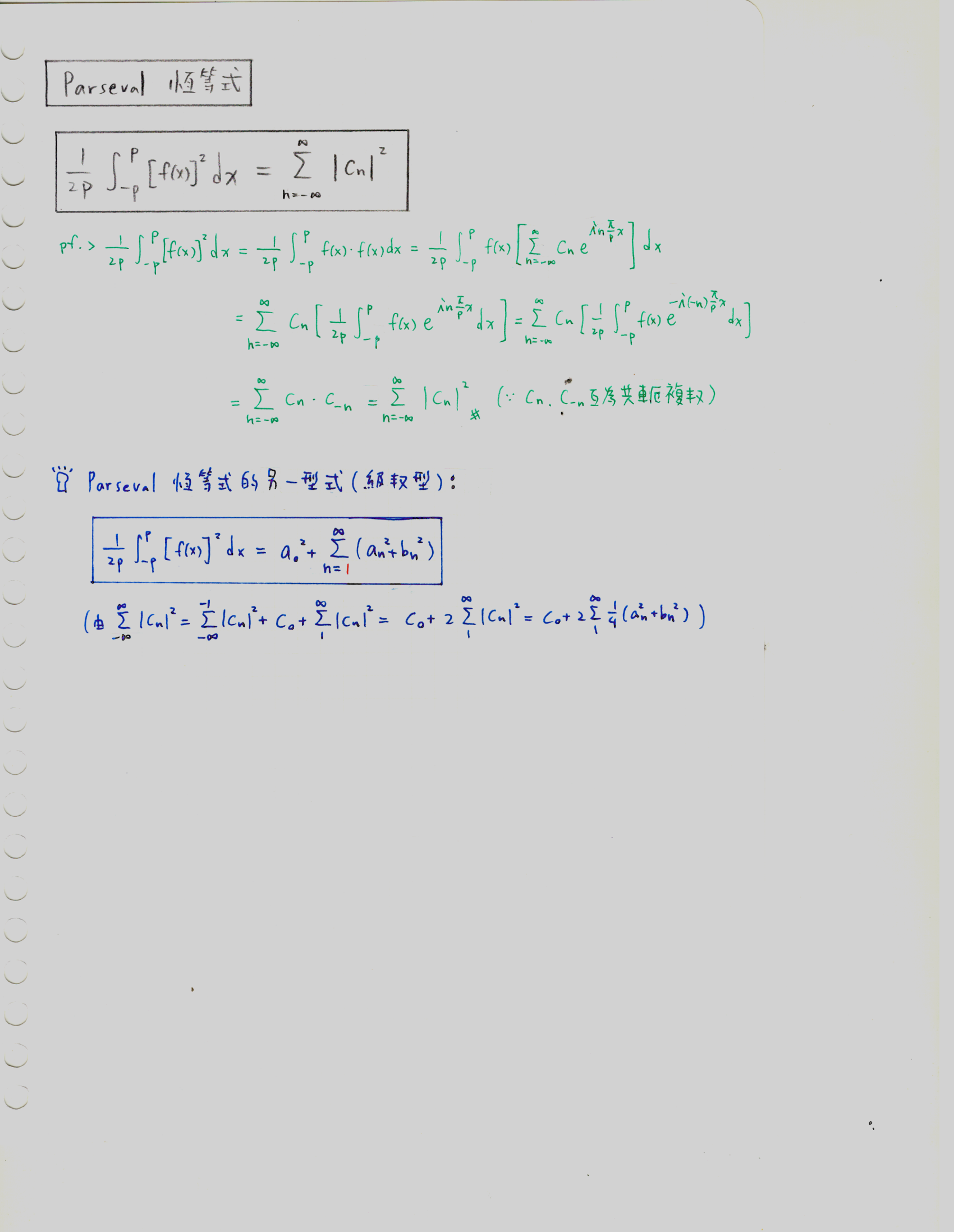
傅立葉級數
3.
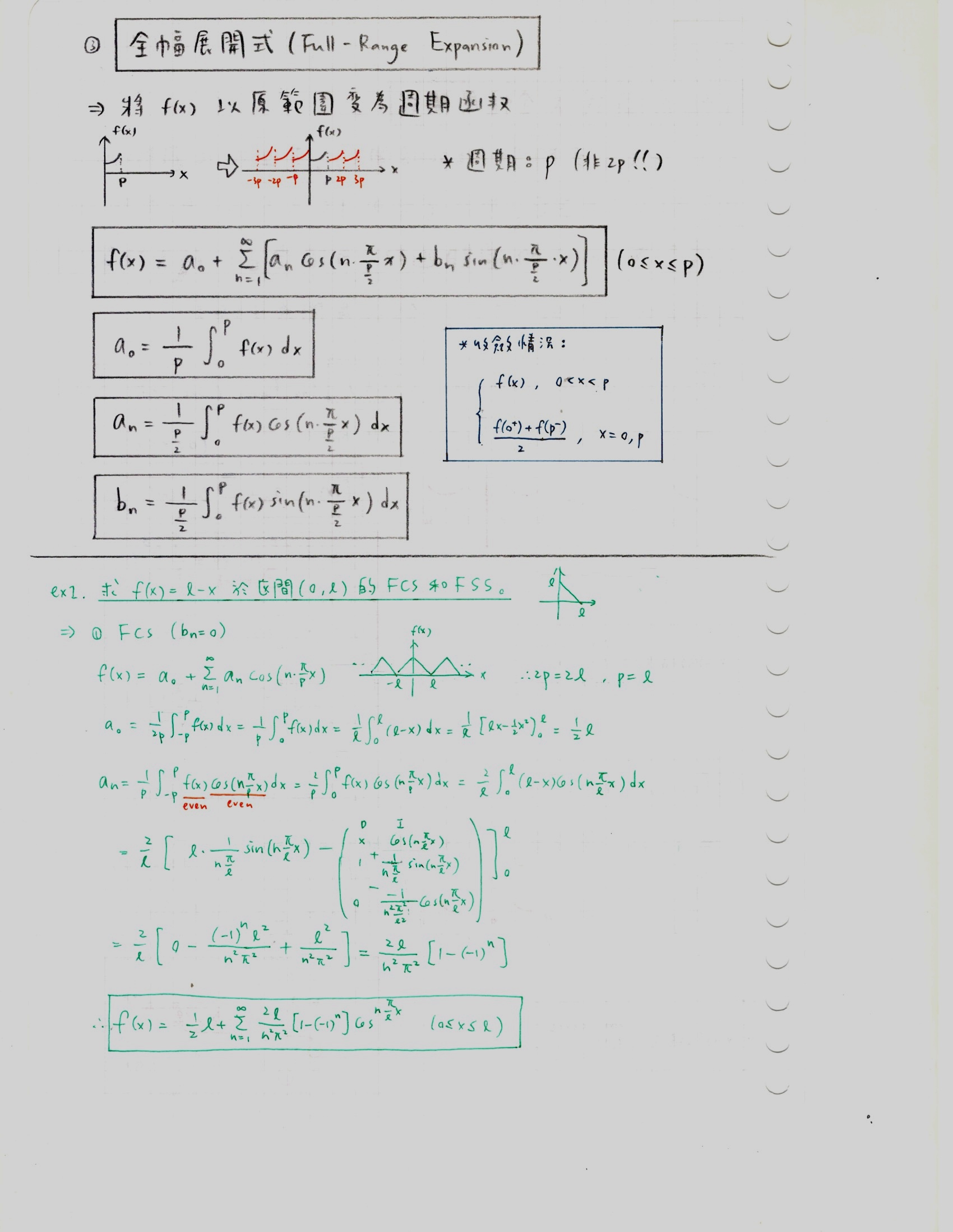
半幅/全幅展開式
3.1.
FCS、FSS
3.2.
全幅展開式
4.
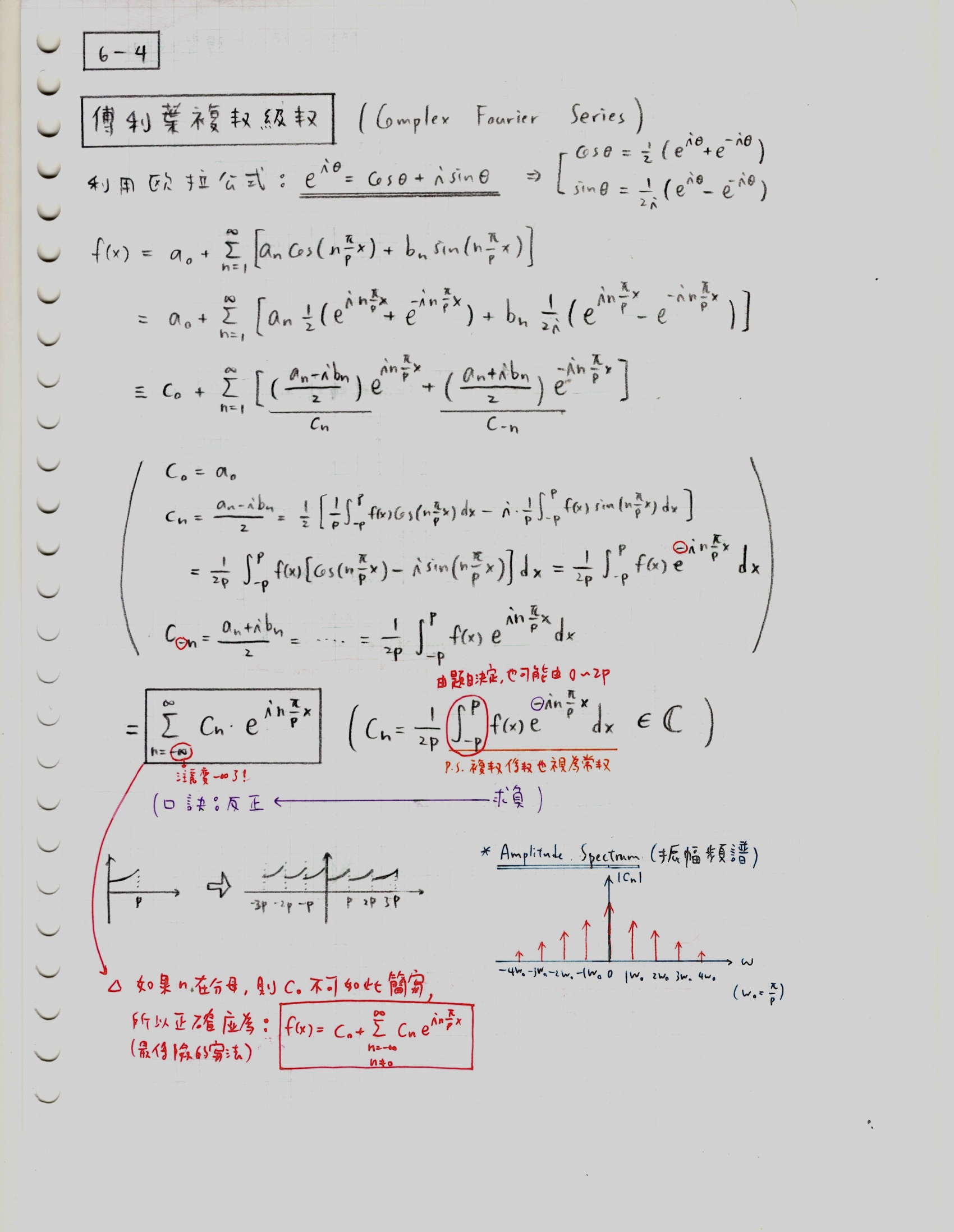
傅立葉複數級數
5.
傅立葉積分
6.
傅立葉轉換
7.
傅立葉轉換之性質